An OB-fold complex controls the repair pathways for DNA double-strand breaks
Oct. 15, 2018
Dissecting the global dynamic molecular profiles of human fetal kidney development by single-cell RNA sequencing
Oct. 15, 2018
Genomic analyses of visual cognition: perceptual rivalry and top-down control
Sep. 25, 2018
The retromer complex safeguards against neural progenitor-derived tumorigenesis by regulating notch receptor trafficking
Sep. 05, 2018
Single-Cell RNA Sequencing Analysis Reveals Sequential Cell Fate Transition during Human Spermatogenesis
Aug. 31, 2018
Long-term all-optical interrogation of cortical neurons in awake-behaving nonhuman primates
Aug. 17, 2018
BBX28 negatively regulates photomorphogenesis by repressing HY5 activity and itself undergoes COP1-mediated degradation in Arabidopsis
Aug. 13, 2018
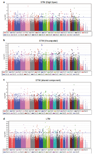
Multi-level genomic analyses suggest new genetic variants involved in human memory
Aug. 10, 2018
Polyprotein strategy for stoichiometric assembly of nitrogen fixation components for synthetic biology
Aug. 09, 2018
Single-cell RNA-seq uncovers dynamic processes and critical regulators in mouse spermatogenesis
Jul. 31, 2018