检测到您当前使用浏览器版本过于老旧,会导致无法正常浏览网站;请您使用电脑里的其他浏览器如:360、QQ、搜狗浏览器的极速模式浏览,或者使用谷歌、火狐等浏览器。
下载Firefox

封面图片
“长安居,大不易”,在大型城市中生活面临各种压力,对人如此,对水生生物而言情况又是如何? 2024年6月11日,PA视讯游戏平台官网和生态研究中心姚蒙课题组在Science of the Total Environment杂志在线发表了题为“Metropolitan pressures: Significant biodiversity declines and strong filtering of functional traits in fish assemblages”的研究论文。该研究是继课题组发现城市环境对鱼类分类多样性的显著作用(Zhang et al., 2022 Science Advances 8:eabk0097)之后,进一步对城市鱼类群落的物种和功能多样性分布模式的研究。通过深入分析完整城市化梯度下鱼类在群落水平、物种水平及性状水平的响应模式,揭示了各城市化压力因素对全球特大都市北京的鱼类群落功能特征的强烈筛选作用,提供了城市化进程对鱼类群落功能结构影响的超精空间尺度数据。
图1 北京地区eDNA采样点分布以及城市干扰水平的划分
全球城市化进程的加速使得生物多样性面临着丧失和群落结构重塑的严重威胁。理解城市化对生物多样性的影响对于制定保护策略至关重要,但目前对城市化在精细尺度上对鱼类群落功能结构的影响了解甚少。传统鱼类调查主要依靠捕捞等方法,难以在城市环境大规模开展。本研究以全球城市化范例北京为研究区域,采集了全面覆盖了北京城区、近郊和远郊的109个水体的样品,开展了基于环境DNA(eDNA)方法的鱼类多样性调查(图1)。利用无损伤性、高效率、高灵敏且高精准度的eDNA宏条形码方法,通过扩增鱼类DNA及高通量测序,共鉴定到75种鱼类,包括52个本地原生鱼种和23个非本地鱼种。同时对各采样水体的水质理化指标和周边地表覆盖类型比例进行了测定和计算,并基于PCA分析结果将采样点划分为低、中、高三个干扰水平,低干扰水平的水体通常具有较高的植被覆盖率和溶解氧浓度,而高干扰水平的水体则与较高的水质污染指标和建筑用地等不透水地面比例相关(图1)。
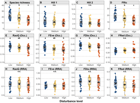
功能多样性反映了物种在生态系统中的地位和作用,是联系生物多样性与生态系统服务功能的重要基础。对北京鱼类物种和功能α多样性的分析结果显示,随着城市化干扰程度的增加,鱼类物种丰富度(Species Richness)、功能丰富度(FRic)、Rao二次熵指数(RaoQ)、功能均匀度(FEve)、功能离散度(FDis)均呈现显著降低趋势(图2),这提示城市化干扰的增强导致了许多鱼类物种的消失。
图2 鱼类物种和功能α多样性在不同干扰水平下的差异比较
此外,本地和非本地鱼类基于相对序列丰度的物种分类和功能β多样性随城市化压力的增加呈现出了差异响应模式。本地鱼类β多样性由β替换组分(replacement)主导,且整体的β多样性和β替换组分随干扰水平增加而显著降低;非本地鱼类β多样性由β丰富度(richness)主导,且β丰富度随干扰程度增加而增加。研究结果提示本地鱼种群落结构差异主要由环境或生态因素决定,而非本地鱼种的群落结构差异主要由物种或性状丰富度的得失造成。
对北京地区鱼类功能性状的PCA分析表明,本地和非本地鱼类功能空间存在较大的重叠,非本地鱼类功能空间随干扰程度增加出现明显缩减,而本地鱼种整体的功能空间变化不大(图3)。外来鱼种的入侵并没有增加和补偿本地鱼类的功能多样性,随城市干扰强度增加而消失的本地稀有物种应成为城市生物多样性保护的重点。
图3 不同干扰水平下鱼类功能空间的变化
RLQ和四角分析结果提示鱼类体型大小、繁殖力、食性和繁殖偏好与水质显著相关,较大体型、较高繁殖力和偏好利用植物进行产卵繁殖的本地鱼类以及杂食性的非本地鱼类是城市环境中的赢家;而较小体型、较低繁殖力和依赖于双壳类进行产卵的本地鱼类对水质污染较为敏感,是城市水体中的输家(图4)。特别是青鳉、宽鳍鱲、高体鳑鲏、大鳍鱊等鱼种,由于其对水质指标的高度敏感性,可以作为水环境指示物种(图5)。
图4 鱼类功能性状对环境变量的响应关系(橙色/蓝色分别表示正/负相关)
图5 水质敏感物种(城市输家)和环境耐受物种(城市赢家)
此外,研究也分析了水质指标与不同土地利用类型的关系。结果显示与水体营养物水平最为高度相关的并非通常视为城市化程度指标的不透水表面,而是农田的比例(图6)。这提示对城市水体质量的保护必须重视农业活动的影响,加强对施肥等水体污染源的管理。
图6 城市农业用地占比(%Cropland)与水体总氮(TN)浓度高度相关
本研究结果表明,城市化压力不仅造成了鱼类群落的简化和同质化,同时对鱼类功能特征起到了强烈的筛选作用,因此应对全球城市化对水生生态系统的干扰需要同时关注物种多样性和功能多样性等多个生物多样性层面的影响,而基于eDNA的生物多样性研究方法将有助于揭示全球高速城市化进程中各生物类群的功能响应及生态系统的变化。
论文第一作者张姗在潮河采集环境水样品
论文通讯作者姚蒙(右下)和志愿者(左上)在元大都进行水质指标测定
PA视讯游戏平台官网张姗博士(现为北京师范大学PA视讯游戏平台官网讲师)为本论文的第一作者,姚蒙研究员为论文通讯作者。感谢中科院生态环境研究中心战爱斌课题组提供的帮助支持,感谢所有参与和协助本项目野外工作的实验室同学和志愿者。该研究得到了国家自然科学基金、云南社会发展项目、中国科协青年人才托举工程和PA视讯游戏平台官网启东创新基金等的资金支持。
原文链接:https://doi.org/10.1016/j.scitotenv.2024.173885
更多论文:https://www.researchgate.net/profile/Meng-Yao-4/research